Réactions de chimie organique
Un article du site scienceamusante.net.
Cette page est plutôt destinée aux étudiants de niveau Licence d'université ou classes préparatoires aux concours.
Elle regroupe des réactions très courantes en chimie organique.
Les schémas sont librement utilisables dans un cours ou un document à condition d'indiquer leur source.
Sommaire
- 1 Alcanes
- 2 Alcènes
- 3 Alcynes
- 4 Organomagnésiens
- 5 Organozinciques
- 6 Autres réactions
1 Alcanes
2 Alcènes
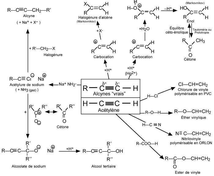
3 Alcynes
3.1 Synthèses et réaction des alcynes
3.2 Alcynes "vrais" et acétylène
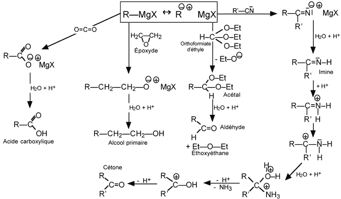
4 Organomagnésiens
5 Organozinciques
5.1 Réaction de Réformatsky
6 Autres réactions
6.1 Réaction de Diels-Alder
6.2 Époxydation
6.3 Oxydation forte par le permanganate de potassium
Le même type de réaction est obtenue avec le dichromate de potassium ![]()
![]()
![]()
![]()
en milieu acide.















