Le lait
Sommaire
1 Définitions
Définition générale : Le lait est le produit élaboré par les glandes mammaires des femelles de mammifères après la naissance du jeune.
Définition légale : Le lait est le produit intégrale de la traite totale et ininterrompue d'une femelle laitière bien portante, bien nourrie et non surmenée. Il doit être recueilli proprement et ne doit contenir de colostrum.
Le terme "lait" (sans autre précision) désigne le lait de vache. Le lait provenant d'une autre espèce doit être désigné par une dénomination "lait de nom de l'espèce", par exemple "lait de chèvre". C'est une disposition légale.
2 Composition physico-chimique[1]
Le lait est un mélange complexe. C'est une émulsion :
- Phase continue : solution aqueuse (sucres, protéines, minéraux, vitamines hydrosolubles)
- Phase dispersée : matières grasses, vitamines liposolubles, colloïdes, protéines (caséine)
Composition du lait de vache moyen[2] :
- Eau : 900-910 g/L
- Matière sèche : 125-135 g/L
- Glucides (lactose) : 48-50 g/L
- Matière azotées totales : 31-38 g/L
- Azote non protéique : 0,01-1,20 g/L
- Lipides : 35-45 g/L
- Triglycérides[3] : 98%
- Phospholipides : 1%
- Stérols, vitamines... : 1%
- Minéraux (cendres) : 7,0-7,5 g/L
- Calcium : 1,0-1,4 g/L
- Phosphore : 0,8-1,1 g/L
- Magnésium : 0,12 g/L
- Fer : 0,6 mg/L
- pH : 6,6-6,8
- Densité : 1,030-1,034
2.1 Lipides (graisses)
Le lait n’est pas blanc ! Il diffuse simplement la lumière qu’on lui envoie et en absorbe une légère partie (coloration crème, rosée).
Diffusion : étalement de la lumière dans toutes les directions
Micelle ou globule : goutte d’émulsion (huile dans eau)
2.2 Glucides (sucres)
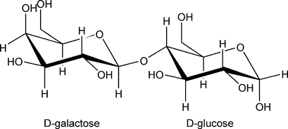
Les sucres contenus dans le lait sont constitués de 99% de lactose, entre 48 et 50 g/L : c'est un sucre spécifique du lait, on ne le trouve pas ailleurs.
Il est formé par condensation d'une molécule de glucose et d'une molécule de galactose :
Dans le corps du jeune animal, on trouve la lactase, une protéine permettant de digérer (métaboliser) le lactose (mais pas saccharase, ni maltase, ni amylase). Chez l'Homme, cette lactase peut disparaître avec l'âge, d'où certains problèmes de digestions liés au lait. En mangeant des produits laitiers régulièrement, on entretient la fabrication de lactase dans notre corps. Pour ceux qui ne digèrent pas le lactose, on peut trouver des lait appauvris en lactose.
3 Comparaison de laits
Teneurs en g/L :
| Mammifère | Matière sèche | Protéines | Lipides | Lactose | Minéraux | Valeur énergétique (kcal/L) |
| Vache | 132 | 35 | 38 | 50 | 7,2 | 750 |
| Chèvre | 115 | 34 | 35 | 45 | 8,0 | 650 |
| Brebis | 185 | 60 | 70 | 45 | 8,7 | 1160 |
| Buffle | 174 | 38 | 77 | 48 | 7,8 | 1100 |
| Jument | 105 | 25 | 16 | 61 | 4,5 | 550 |
| Ânesse | 100 | 20 | 14 | 62 | 4,0 | 510 |
| Truie | 183 | 60 | 66 | 54 | 9,5 | 1120 |
| Chienne | 246 | 112 | 96 | 31 | 7,3 | 1640 |
| Chatte | 271 | 95 | 68 | 100 | 7,5 | 1570 |
| Lapine | 287 | 123 | 131 | 19 | 21,0 | 1500 |
| Femme | 124 | 13 | 39 | 70 | 2,0 | 650 |
La "matière sèche" représente ce qu'il reste lorsque toute l'eau a été éliminée.
4 Dérivés du lait
- Lait en poudre : nébulisation, séchage.
- Lait écrémé : centrifugation, décantation. Élimine 91% des lipides (graisses), mais aussi les vitamines liposolubles.
- Lactosérum : filtrat après coagulation (fromage)
- Fromage : coagulation de la caséine. Deux méthodes, éventuellement combinées :
- Acidité : l'action des bactéries sur le lactose forme de l'acide lactique ; en milieu acide, la caséine coagule.
- Présure : l'action d'enzymes (chymosine et pepsine) provoque aussi la coagulation.
- Plastiques et colles : coagulation par un acide (acide chlorhydrique, acide sulfurique)
ou du formol
, filtration, pour obtenir la galalithe. C'est l'une des premières matières synthétiques fabriquées.[4]
5 Références
- ↑ Chimie du petit déjeuner, Marie Terrien, Josette Fournier ; Cultures et techniques, IUFM (1998) - ISBN 2-9510168-5-9
- ↑ École Nationale Vétérinaire de Lyon : http://www.vet-lyon.fr
- ↑ A propos des lipides, voir aussi : Les huiles et graisses
- ↑ Voir par exemple : https://zestedesavoir.com/tutoriels/235/tp-la-galalithe/
