Tétrakis(diméthylamino)éthylène/synthèse
Un article du site scienceamusante.net.
Le tétrakis(diméthylamino)éthylène ![]()
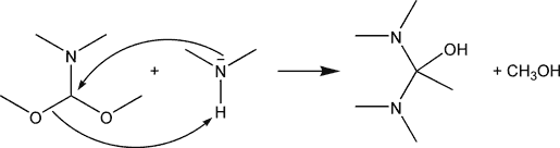
est difficile à trouver chez les vendeurs de produits pour laboratoires. Sa synthèse a été faite pour la première fois en 1950[1] et sa chimioluminescence en même temps. On peut le préparer par réaction de la (1,1-diméthoxyméthyl)diméthylamine avec la diméthylamine[2] :
La distillation conduisant au produit, par élimination du méthanol ![]()
![]()
:

