Luminol/synthèse
Un article du site scienceamusante.net.
| Cette page fait partie des articles à compléter et n'est pas validée. Considérez-la comme une ébauche. | |
| Si vous relevez des erreurs, merci de les signaler sur la page de discussion ou les corriger directement. | |
| Pour contribuer au wiki, prenez connaissances du protocole de contribution et des règles de contribution, identifiez-vous et prenez modèle sur d'autres pages du wiki. |
Le luminol est un produit très cher. Il peut être intéressant de le fabriquer en laboratoire, ce qui fait un bon exercice pratique. Voici quelques synthèses qui ont été proposées sur le forum de chimie, du luminol ou de ses intermédiaires de synthèse.
- Synthèse de l'acide 3-nitrophtalique

à partir de l'anhydride phtalique 

et de l’acide nitrique 
: http://www.orgsyn.org/demo.aspx?prep=cv1p0408 - Synthèse de la 5-nitro-2,3-dihydro-1,4-phtalazinedione à partir d'acide 3-nitrophtalique

et d'hydrazine 



: http://www.orgsyn.org/demo.aspx?prep=cv3p0656 - Synthèse du luminol
à partir de 5-nitro-2,3-dihydro-1,4-phthalazinedione et d'hydrosulfite de sodium 
: http://www.orgsyn.org/demo.aspx?prep=cv3p0069
Sites en anglais !
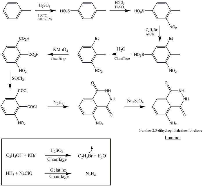
À partir du toluène
Par William Erb. Non testé !
Les conditions expérimentales et les techniques d'extraction et purification exactes sont à déterminer !
- Dans un ballon, introduire 92,14 g de toluène


et ajouter 102,17 g d'acide sulfurique
à 96%. - Chauffer à 100°C pendant 30 min.
- Ajouter ensuite dans la solution un melange d'acide sulfurique concentré (51,08 g à 96%) et d'acide nitrique

concentré (92,66 g à 68%). - Attendre la nitration pendant environ un jour.
- Dès que la nitration est complète, ajouter 108,97 g de bromoéthane avec ? g de chlorure d'aluminium.
- Laisser réagir pendant ? heures.
- Ajouter environ ? g d'eau et chauffer à ?°C pendant ? min.
- Ajouter alors 142,03 g de permanganate de potassium


et chauffer à ?°C pendant ? min.
On devrait théoriquement se retrouver avec 211,13 g d'acide 3-nitrophtalique.
- Ajouter finalement 118,97 g de chlorure de thionyle

puis 32,05 g d'hydrazine et enfin 174,11 g de dithionite de sodium 
. - On se retrouve alors en théorie avec 177,16 g de luminol
